
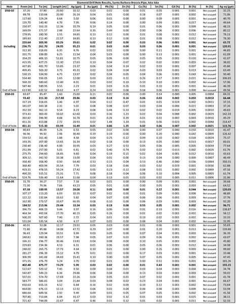
Eloro Resources Ltd. (TSX-V: ELO; OTCQX: ELRRF FSE: P2QM) (“Eloro”, or the “Company”) is pleased to provide an update on its Iska Iska silver-tin polymetallic project in Potosi Department, southern Bolivia. To date, the Company has completed 28 diamond drill holes totalling 10,677 metres to test the Huayra Kasa Mine area, Santa Barbara Breccia Pipe (“SBBP”) and Central Breccia Pipe (“CBP”) targets. This press release reports further drilling results from five additional holes (DSB-02 to DSB-06) on SBBP and detailed continuous channel sampling in the Santa Barbara adit. Two new holes (DCN-01 and DCN-02) have been completed on the CBP with results pending. Figure 1 is a geological plan map showing locations of the drill holes and updated geological interpretation. Figure 2 is a geological cross section along the axis of the SBBP showing location of the main mineralized zone. Figure 3 is a N-S cross section through the SBBP. Figure 4 is map of the continuous channel sampling at the Santa Barbara adit. Tables 1 gives significant drilling results, Table 2 gives complete continuous channel sampling results for the Santa Barbara Adit and Table 3 lists holes completed with assays pending. Highlights are as follows: read more